Официальное опубликование правовых актов
ОФИЦИАЛЬНОЕ ОПУБЛИКОВАНИЕ
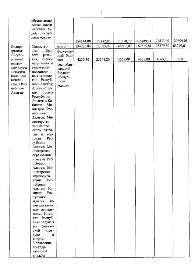
Постановление Кабинета Министров Республики Адыгея от 22.05.2023 № 107
"О внесении изменений в государственную программу Республики Адыгея "Цифровое развитие"
Номер опубликования: 0100202305250001
Дата опубликования: 25.05.2023
Страница №7 из 10:
Увеличить