Официальное опубликование правовых актов
ОФИЦИАЛЬНОЕ ОПУБЛИКОВАНИЕ
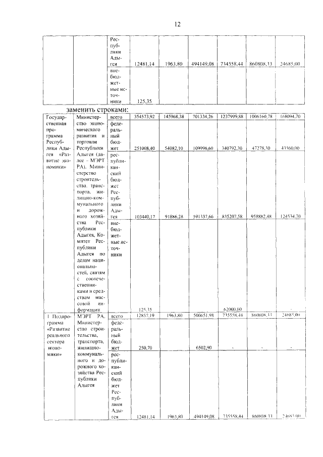
Постановление Кабинета Министров Республики Адыгея от 27.03.2023 № 64
"О внесении изменений в государственную программу Республики Адыгея "Развитие экономики"
Номер опубликования: 0100202303300007
Дата опубликования: 30.03.2023
Страница №12 из 17:
Увеличить