Официальное опубликование правовых актов
ОФИЦИАЛЬНОЕ ОПУБЛИКОВАНИЕ
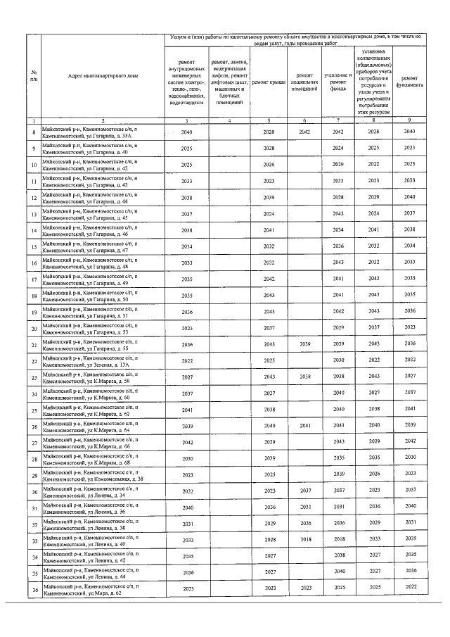
Постановление Кабинета Министров Республики Адыгея от 28.12.2022 № 357
"О внесении изменения в республиканскую программу капитального ремонта общего имущества в многоквартирных домах на 2014-2047 годы"
Номер опубликования: 0100202212300020
Дата опубликования: 30.12.2022
Страница №27 из 56:
Увеличить