Официальное опубликование правовых актов
ОФИЦИАЛЬНОЕ ОПУБЛИКОВАНИЕ
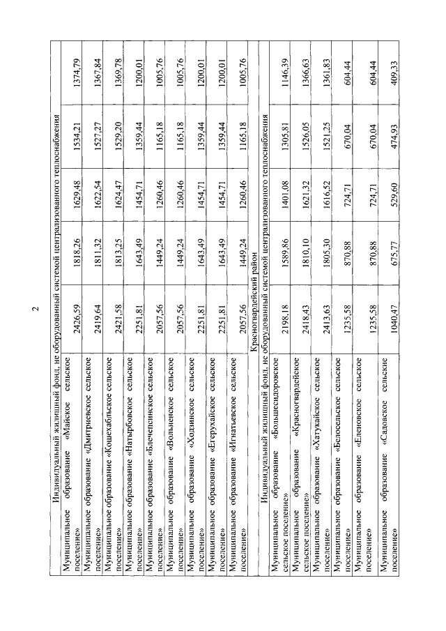
Постановление Кабинета Министров Республики Адыгея от 07.06.2022 № 122
"О республиканском стандарте стоимости жилищно-коммунальных услуг на 2022 год"
Номер опубликования: 0100202206090002
Дата опубликования: 09.06.2022
Страница №17 из 20:
Увеличить