Официальное опубликование правовых актов
ОФИЦИАЛЬНОЕ ОПУБЛИКОВАНИЕ
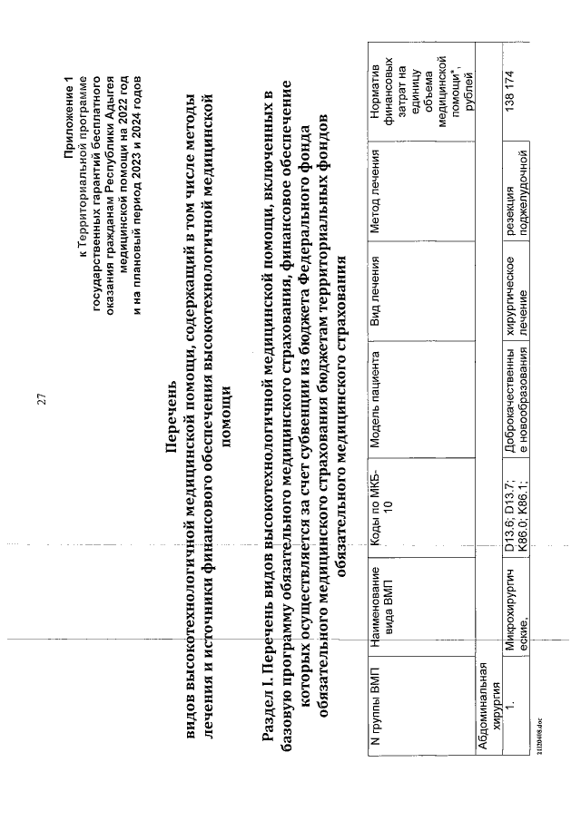
Постановление Кабинета Министров Республики Адыгея от 10.01.2022 № 2
"О Территориальной программе государственных гарантий бесплатного оказания гражданам медицинской помощи в Республике Адыгея на 2022 год и на плановый период 2023 и 2024 годов"
Номер опубликования: 0100202201140001
Дата опубликования: 14.01.2022
Страница №28 из 916:
Увеличить