Официальное опубликование правовых актов
ОФИЦИАЛЬНОЕ ОПУБЛИКОВАНИЕ
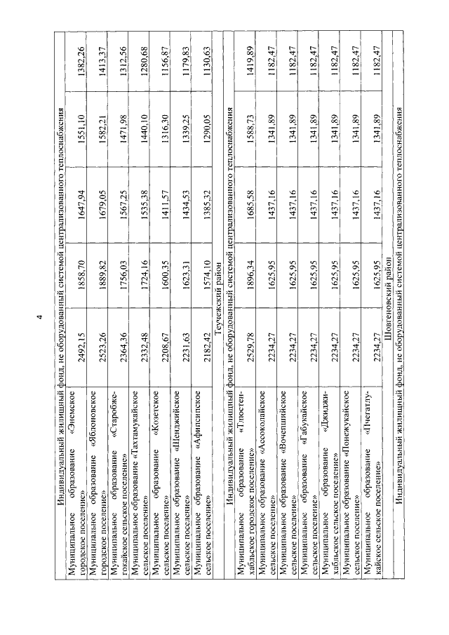
Постановление Кабинета Министров Республики Адыгея от 01.11.2021 № 224
"О внесении изменения в постановление Кабинета Министров Республики Адыгея от 9 апреля 2021 года N 64 "О республиканском стандарте стоимости жилищно-коммунальных услуг на 2021 год"
Номер опубликования: 0100202111040003
Дата опубликования: 04.11.2021
Страница №18 из 19:
Увеличить