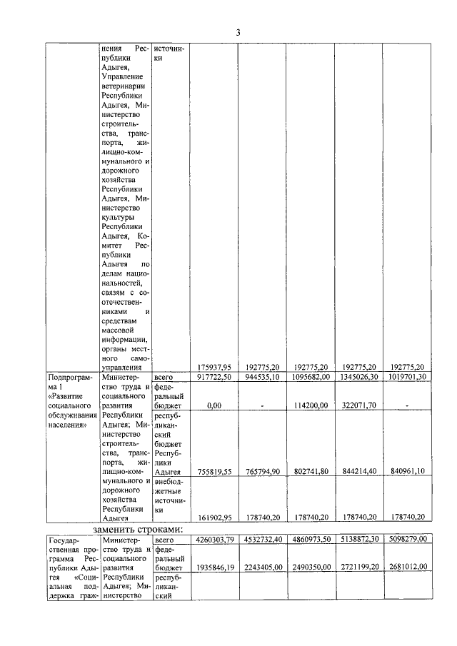
Постановление Кабинета Министров Республики Адыгея от 28.10.2021 № 222
"О внесении изменений в государственную программу Республики Адыгея "Социальная поддержка граждан"
"О внесении изменений в государственную программу Республики Адыгея "Социальная поддержка граждан"
Номер опубликования: 0100202111010002
Дата опубликования:
01.11.2021
