Официальное опубликование правовых актов
ОФИЦИАЛЬНОЕ ОПУБЛИКОВАНИЕ
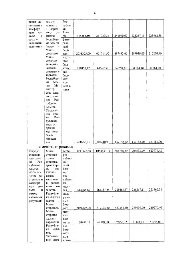
Постановление Кабинета Министров Республики Адыгея от 16.07.2021 № 120
"О внесении изменений в государственную программу Республики Адыгея "Обеспечение доступным и комфортным жильем и коммунальными услугами"
Номер опубликования: 0100202107200003
Дата опубликования: 20.07.2021
Страница №6 из 17:
Увеличить