Официальное опубликование правовых актов
ОФИЦИАЛЬНОЕ ОПУБЛИКОВАНИЕ
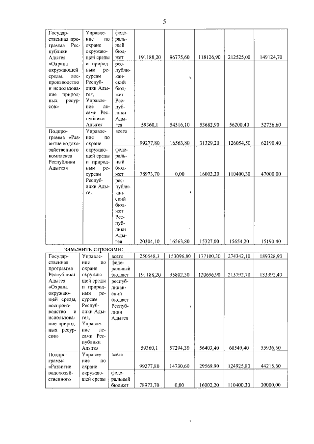
Постановление Кабинета Министров Республики Адыгея от 10.06.2021 № 101
"О внесении изменений в государственную программу Республики Адыгея "Охрана окружающей среды, воспроизводство и использование природных ресурсов"
Номер опубликования: 0100202106160003
Дата опубликования: 16.06.2021
Страница №5 из 13:
Увеличить