Официальное опубликование правовых актов
ОФИЦИАЛЬНОЕ ОПУБЛИКОВАНИЕ
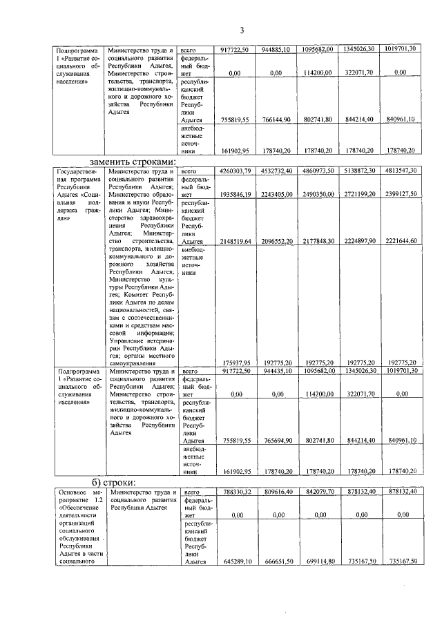
Постановление Кабинета Министров Республики Адыгея от 04.05.2021 № 81
"О внесении изменений в государственную программу Республики Адыгея "Социальная поддержка граждан"
Номер опубликования: 0100202105100001
Дата опубликования: 10.05.2021
Страница №3 из 5:
Увеличить