Официальное опубликование правовых актов
ОФИЦИАЛЬНОЕ ОПУБЛИКОВАНИЕ
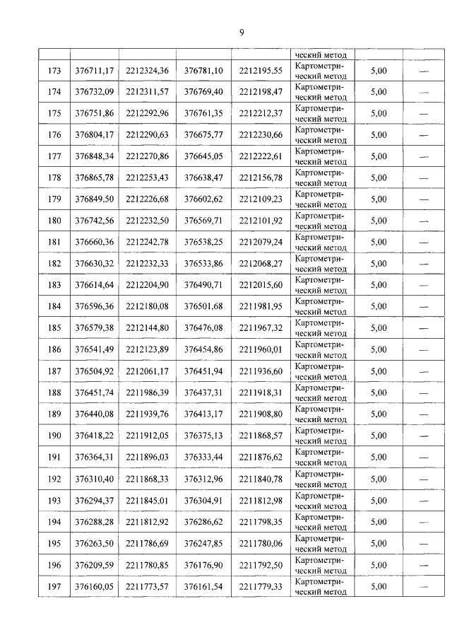
Постановление Кабинета Министров Республики Адыгея от 17.06.2020 № 116
"О реорганизации памятника природы республиканского значения"Верховье реки Цица"
Номер опубликования: 0100202006230001
Дата опубликования: 23.06.2020
Страница №15 из 43:
Увеличить