Постановление Кабинета Министров Республики Адыгея от 29.05.2020 № 107
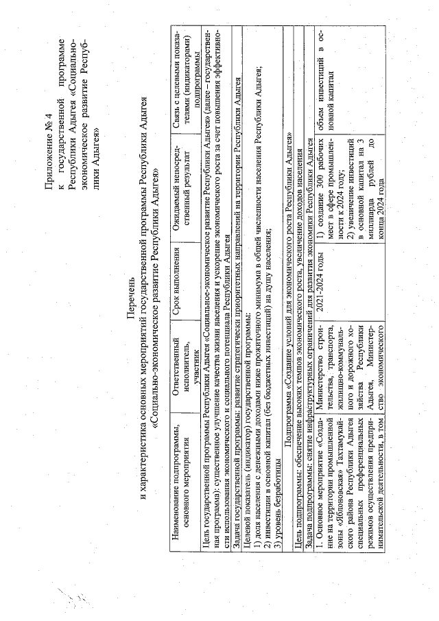
"О государственной программе Республики Адыгея "Социально-экономическое развитие Республики Адыгея"
"О государственной программе Республики Адыгея "Социально-экономическое развитие Республики Адыгея"
Номер опубликования: 0100202006040005
Дата опубликования:
04.06.2020
