Официальное опубликование правовых актов
ОФИЦИАЛЬНОЕ ОПУБЛИКОВАНИЕ
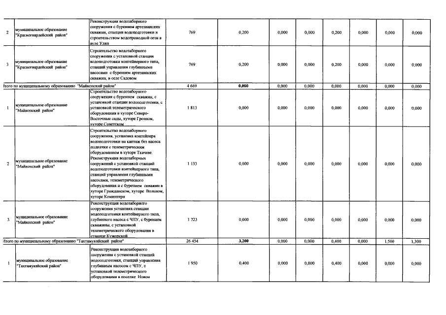
Постановление Кабинета Министров Республики Адыгея от 01.10.2019 № 234
"О внесении изменений в республиканскую программу по повышению качества водоснабжения "Чистая вода" на 2019-2024 годы"
Номер опубликования: 0100201910070002
Дата опубликования: 07.10.2019
Страница №22 из 38:
Увеличить