Официальное опубликование правовых актов
ОФИЦИАЛЬНОЕ ОПУБЛИКОВАНИЕ
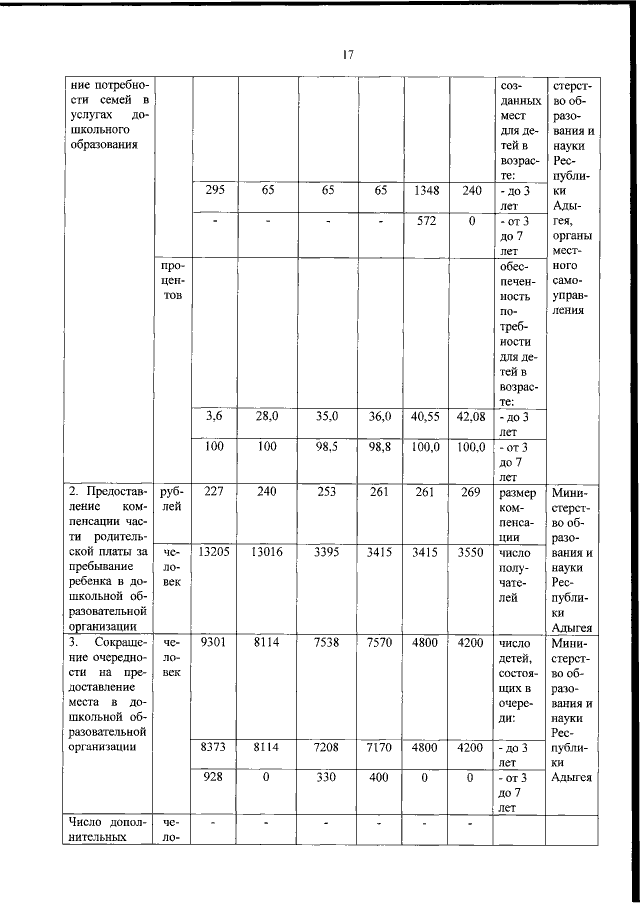
Распоряжение Главы Республики Адыгея от 03.04.2019 № 83-рг
"О внесении изменения в распоряжение Главы Республики Адыгея от 21 ноября 2016 года N 232-рг "О Плане мероприятий ("дорожной карте") по совершенствованию демографической политики в Республике Адыгея на 2016-2020 годы"
Номер опубликования: 0100201904050004
Дата опубликования: 05.04.2019
Страница №18 из 32:
Увеличить