Официальное опубликование правовых актов
ОФИЦИАЛЬНОЕ ОПУБЛИКОВАНИЕ
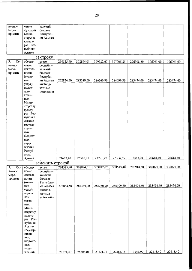
Постановление Кабинета Министров Республики Адыгея от 08.06.2017 № 102
"О внесении изменений в государственную программу Республики Адыгея "Развитие культуры" на 2014-2020 годы"
Номер опубликования: 0100201706090005
Дата опубликования: 09.06.2017
Страница №20 из 21:
Увеличить