Официальное опубликование правовых актов
ОФИЦИАЛЬНОЕ ОПУБЛИКОВАНИЕ
Распоряжение Кабинета Министров Республики Адыгея от 28.03.2017 № 55-р
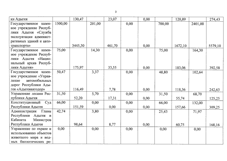
"Об утверждении лимитов потребления услуг по водоснабжению, водоотведению, утилизации твердых коммунальных отходов, отоплению и горячему водоснабжению (компонент тепловой энергии и холодной воды) в натуральном и стоимостном выражении в 2017-2019 годах для юридических лиц, финансируемых из республиканского бюджета Республики Адыгея"
Номер опубликования: 0100201703310004
Дата опубликования: 31.03.2017
Страница №46 из 65:
Увеличить