Официальное опубликование правовых актов
ОФИЦИАЛЬНОЕ ОПУБЛИКОВАНИЕ
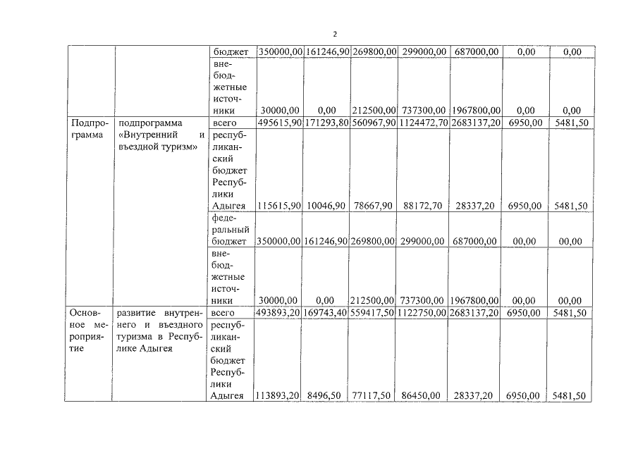
Постановление Кабинета Министров Республики Адыгея от 29.12.2016 № 256
"О внесении изменений в государственную программу Республики Адыгея "Развитие туризма" на 2014-2020 годы"
Номер опубликования: 0100201701030026
Дата опубликования: 03.01.2017
Страница №17 из 20:
Увеличить