Официальное опубликование правовых актов
ОФИЦИАЛЬНОЕ ОПУБЛИКОВАНИЕ
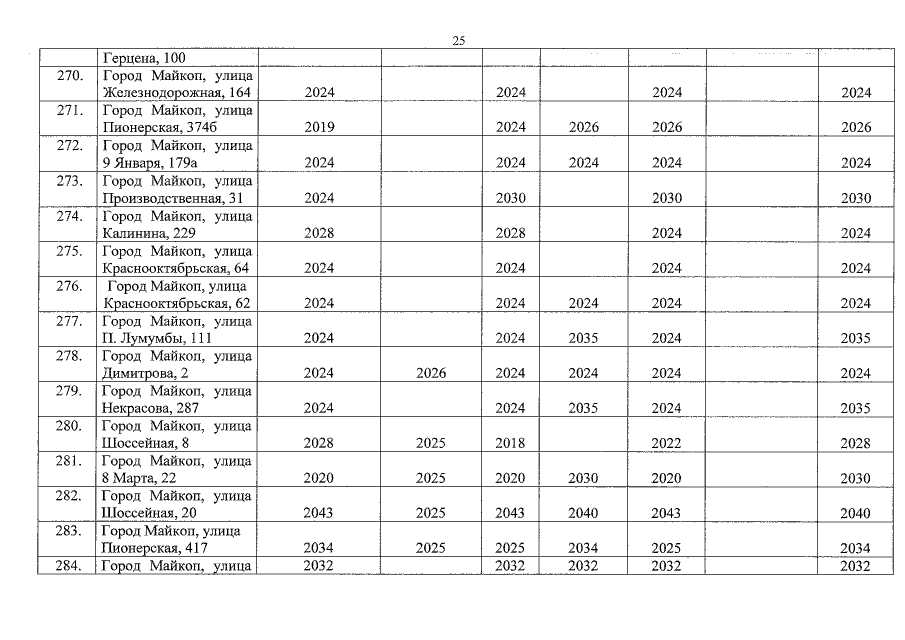
Постановление Кабинета Министров Республики Адыгея от 30.12.2016 № 266
"О внесении изменения в республиканскую программу капитального ремонта общего имущества в многоквартирных домах на 2014-2043 годы"
Номер опубликования: 0100201701030023
Дата опубликования: 03.01.2017
Страница №26 из 145:
Увеличить