Официальное опубликование правовых актов
ОФИЦИАЛЬНОЕ ОПУБЛИКОВАНИЕ
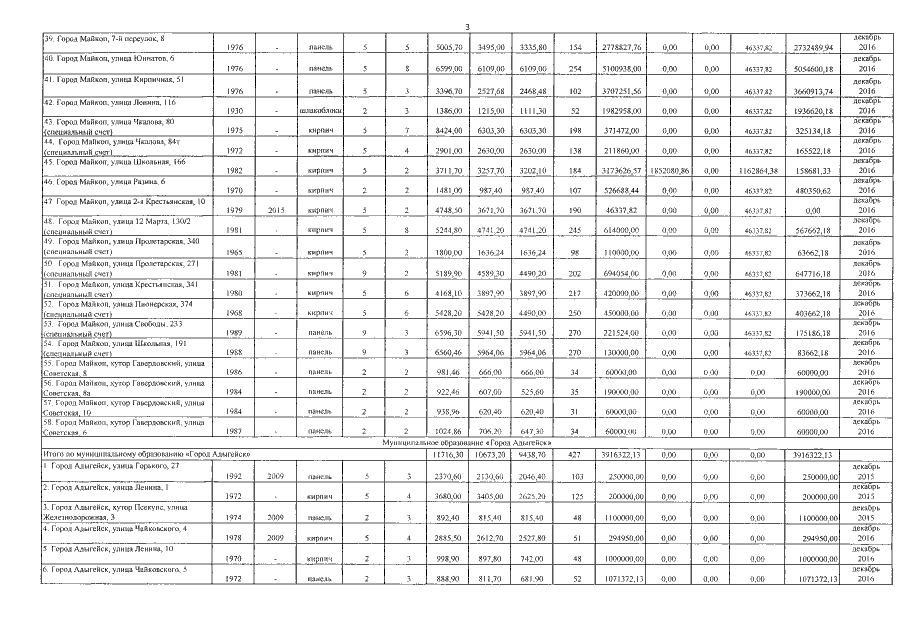
Постановление Кабинета Министров Республики Адыгея от 26.12.2016 № 242
"О внесении изменений в краткосрочный план реализации республиканской программы капитального ремонта общего имущества в многоквартирных домах на 2014-2016 годы"
Номер опубликования: 0100201612300003
Дата опубликования: 30.12.2016
Страница №5 из 14:
Увеличить