Официальное опубликование правовых актов
ОФИЦИАЛЬНОЕ ОПУБЛИКОВАНИЕ
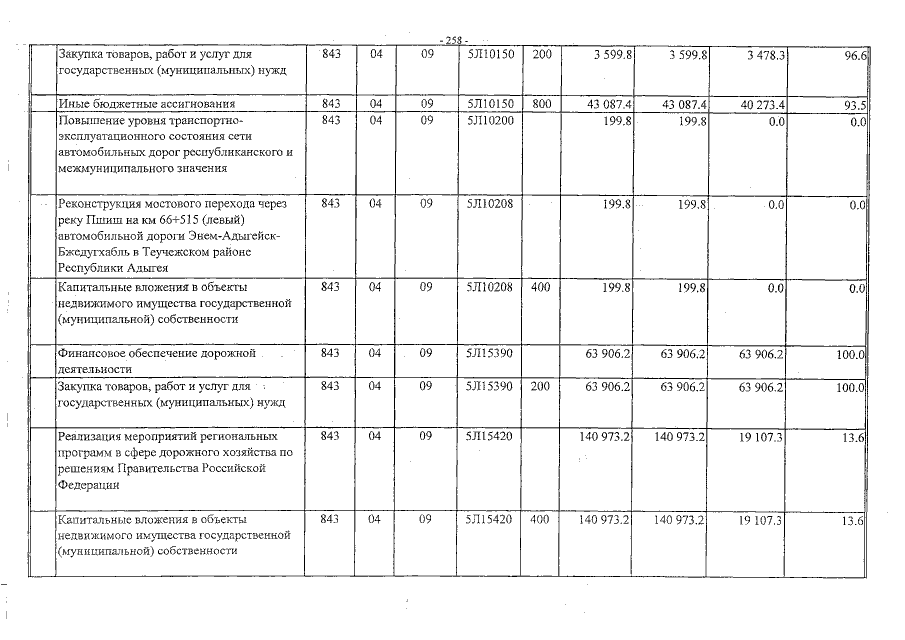
Закон Республики Адыгея от 17.06.2016 № 543
"Об исполнении республиканского бюджета Республики Адыгея за 2015 год."
Номер опубликования: 0100201606230009
Дата опубликования: 23.06.2016
Страница №258 из 324:
Увеличить