Официальное опубликование правовых актов
ОФИЦИАЛЬНОЕ ОПУБЛИКОВАНИЕ
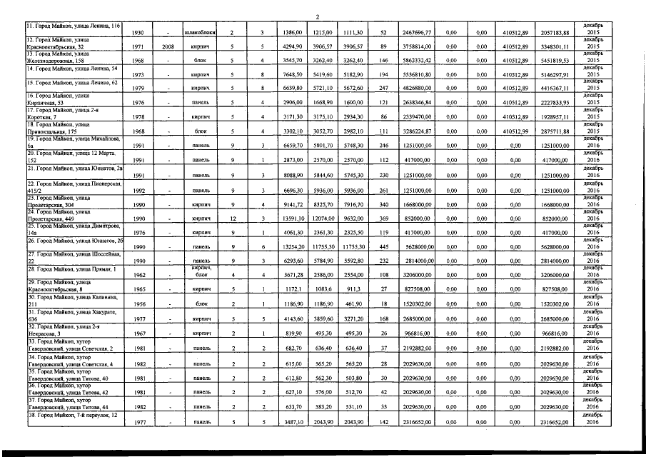
Постановление Кабинета Министров Республики Адыгея от 30.12.2015 № 313
"О внесении изменений в краткосрочный план реализации республиканской программы капитального ремонта общего имущества в многоквартирных домах на 2014-2016 годы"
Номер опубликования: 0100201601040005
Дата опубликования: 04.01.2016
Страница №4 из 13:
Увеличить