Официальное опубликование правовых актов
ОФИЦИАЛЬНОЕ ОПУБЛИКОВАНИЕ
Распоряжение Кабинета Министров Республики Адыгея от 16.12.2015 № 305-р
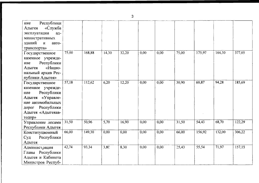
"Об утверждении лимитов потребления услуг по водоснабжению, водоотведению, утилизации твердых бытовых отходов, отоплению и горячему водоснабжению в натуральном и стоимостном выражении в 2016-2018 годах для юридических лиц, финансируемых из республиканского бюджета Республики Адыгея"
Номер опубликования: 0100201512230010
Дата опубликования: 23.12.2015
Страница №45 из 67:
Увеличить