Официальное опубликование правовых актов
ОФИЦИАЛЬНОЕ ОПУБЛИКОВАНИЕ
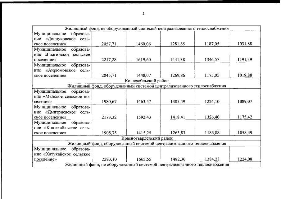
Постановление Кабинета Министров Республики Адыгея от 16.12.2015 № 274
"О республиканском стандарте стоимости жилищно-коммунальных услуг на 2016 год"
Номер опубликования: 0100201512230005
Дата опубликования: 23.12.2015
Страница №13 из 24:
Увеличить