Официальное опубликование правовых актов
ОФИЦИАЛЬНОЕ ОПУБЛИКОВАНИЕ
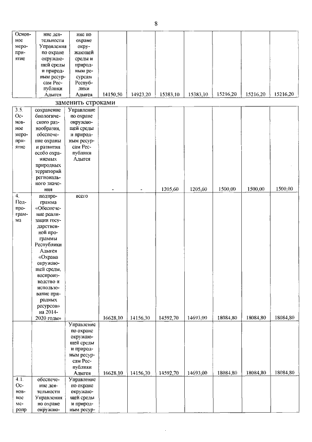
Постановление Кабинета Министров Республики Адыгея от 12.05.2015 № 94
"О внесении изменений в государственную программу Республики Адыгея "Охрана окружающей среды, воспроизводство и использование природных ресурсов" на 2014-2020 годы"
Номер опубликования: 0100201505140001
Дата опубликования: 14.05.2015
Страница №8 из 13:
Увеличить