Официальное опубликование правовых актов
ОФИЦИАЛЬНОЕ ОПУБЛИКОВАНИЕ
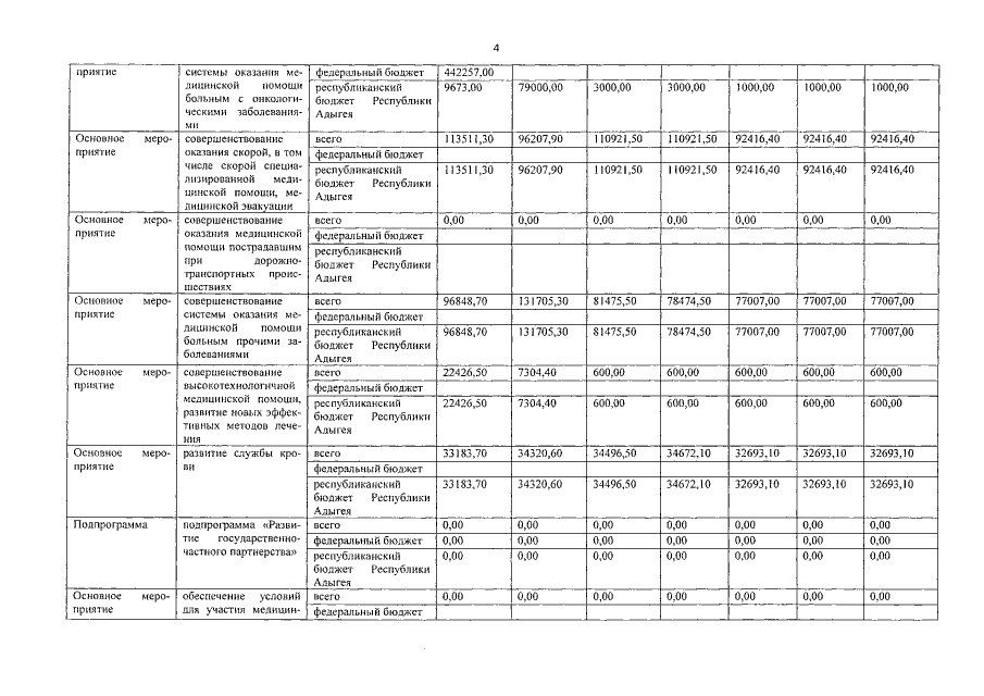
Постановление Кабинета Министров Республики Адыгея от 03.04.2015 № 57
"О внесении изменений в государственную программу Республики Адыгея "Развитие здравоохранения" на 2014-2020 годы"
Номер опубликования: 0100201504090001
Дата опубликования: 09.04.2015
Страница №36 из 43:
Увеличить