Официальное опубликование правовых актов
ОФИЦИАЛЬНОЕ ОПУБЛИКОВАНИЕ
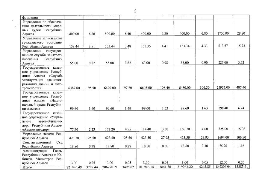
Распоряжение Кабинета Министров Республики Адыгея от 03.03.2015 № 41-р
"Об утверждении лимитов потребления услуг по водоснабжению, водоотведению, утилизации твердых бытовых отходов, отоплению и горячему водоснабжению в натуральном и стоимостном выражении в 2015-2017 годах для юридических лиц, финансируемых из республиканского бюджета Республики Адыгея"
Номер опубликования: 0100201503060003
Дата опубликования: 06.03.2015
Страница №8 из 42:
Увеличить