Официальное опубликование правовых актов
ОФИЦИАЛЬНОЕ ОПУБЛИКОВАНИЕ
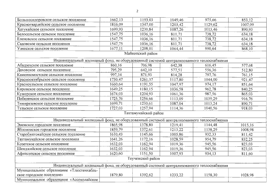
Постановление Кабинета Министров Республики Адыгея от 16.02.2015 № 24
"О республиканском стандарте стоимости жилищно-коммунальных услуг на 2015 год"
Номер опубликования: 0100201502200003
Дата опубликования: 20.02.2015
Страница №12 из 13:
Увеличить