Официальное опубликование правовых актов
ОФИЦИАЛЬНОЕ ОПУБЛИКОВАНИЕ
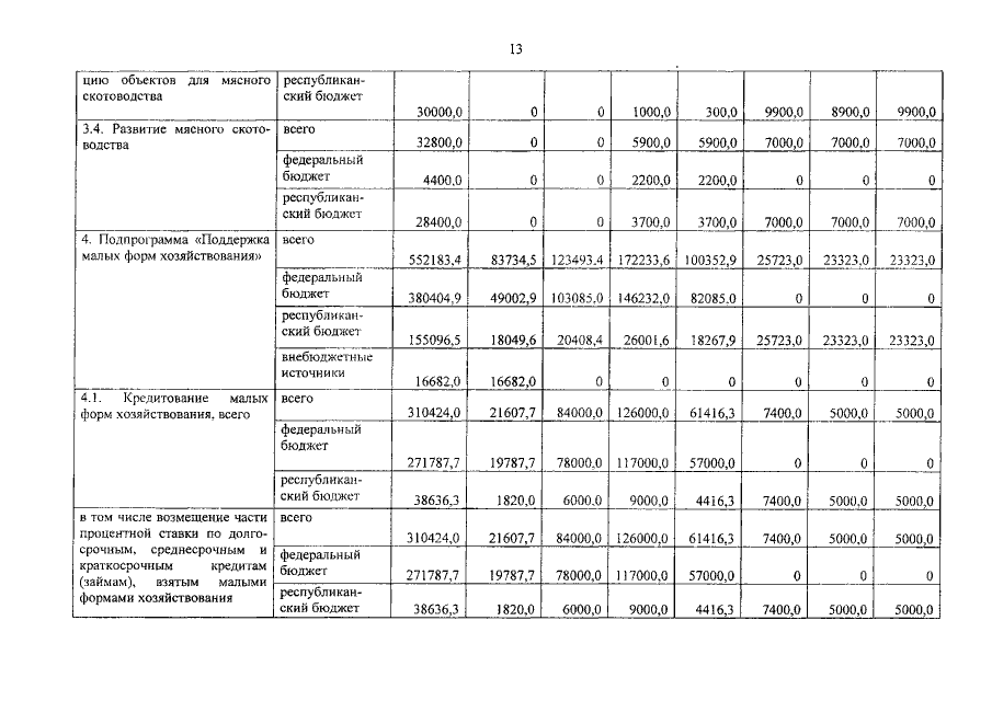
Постановление Кабинета Министров Республики Адыгея от 31.12.2014 № 342
"О внесении изменений в государственную программу Республики Адыгея "Развитие сельского хозяйства и регулирование рынков сельскохозяйственной продукции, сырья и продовольствия" на 2013-2020 годы"
Номер опубликования: 0100201501080025
Дата опубликования: 08.01.2015
Страница №59 из 69:
Увеличить