Официальное опубликование правовых актов
ОФИЦИАЛЬНОЕ ОПУБЛИКОВАНИЕ
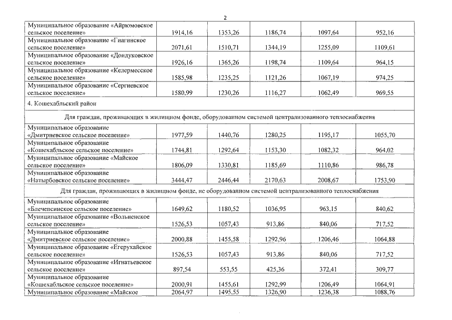
Постановление Кабинета Министров Республики Адыгея от 30.12.2014 № 320
"О внесении изменений в постановление Кабинета Министров Республики Адыгея от 31 декабря 2013 года N 330 "О республиканском стандарте стоимости жилищно-коммунальных услуг на 2014 год"
Номер опубликования: 0100201501040007
Дата опубликования: 04.01.2015
Страница №4 из 19:
Увеличить