Официальное опубликование правовых актов
ОФИЦИАЛЬНОЕ ОПУБЛИКОВАНИЕ
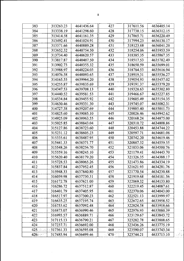
Приказ Федерального агентства воздушного транспорта от 12.01.2026 № 3-П
"Об установлении приаэродромной территории аэродрома гражданской авиации Эльга"
(Зарегистрирован 05.03.2026 № 85568)
Номер опубликования: 0001202603060002
Дата опубликования: 06.03.2026
Страница №9 из 363:
Увеличить