Официальное опубликование правовых актов
ОФИЦИАЛЬНОЕ ОПУБЛИКОВАНИЕ
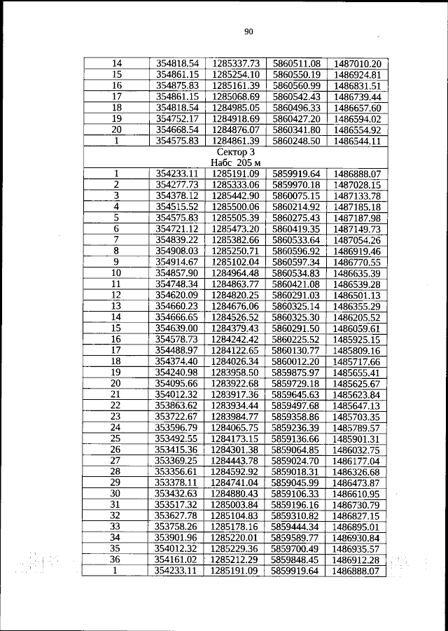
Приказ Федерального агентства воздушного транспорта от 17.12.2025 № 969-П
"Об установлении приаэродромной территории аэродрома гражданской авиации Орел (Южный)"
(Зарегистрирован 29.01.2026 № 85137)
Номер опубликования: 0001202601300037
Дата опубликования: 30.01.2026
Страница №91 из 155:
Увеличить