Официальное опубликование правовых актов
ОФИЦИАЛЬНОЕ ОПУБЛИКОВАНИЕ
Приказ Службы внешней разведки Российской Федерации от 01.12.2025 № 111
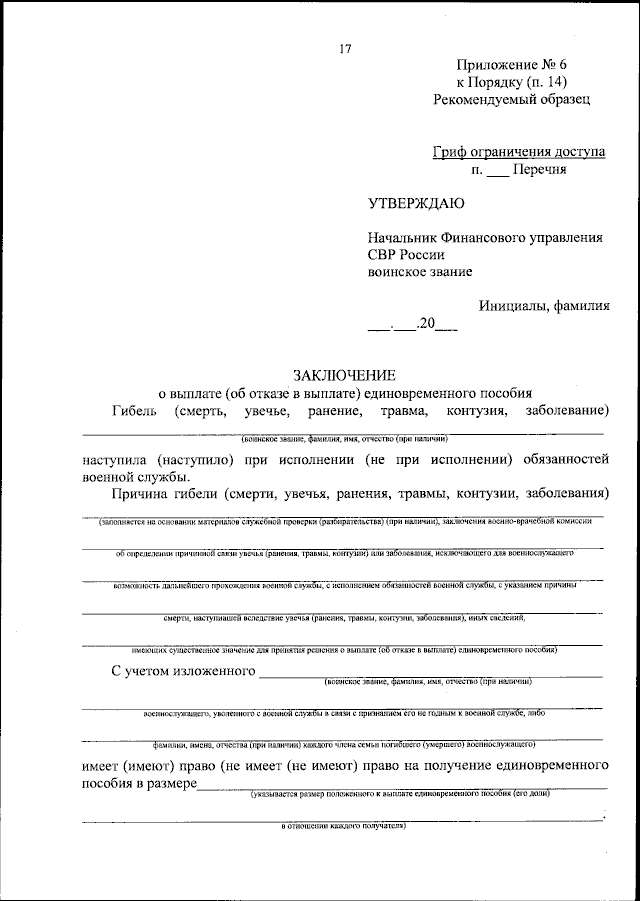
"Об утверждении Порядка осуществления в Службе внешней разведки Российской Федерации выплаты единовременных пособий, предусмотренных частями 8, 12 и 12.1 статьи 3 Федерального закона от 7 ноября 2011 года № 306-ФЗ "О денежном довольствии военнослужащих и предоставлении им отдельных выплат"
(Зарегистрирован 08.12.2025 № 84485)
Номер опубликования: 0001202512080020
Дата опубликования: 08.12.2025
Страница №18 из 19:
Увеличить