Официальное опубликование правовых актов
ОФИЦИАЛЬНОЕ ОПУБЛИКОВАНИЕ
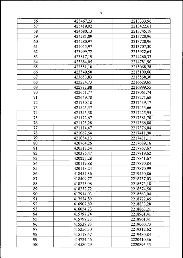
Приказ Министерства природных ресурсов и экологии Российской Федерации от 30.09.2025 № 504
"Об установлении границ охранной зоны участка № 2 "Суворовское лесничество" государственного природного заповедника "Уссурийский" им. В.Л. Комарова, а также об утверждении Положения об охранной зоне государственного природного заповедника "Уссурийский" им. В.Л. Комарова"
(Зарегистрирован 20.11.2025 № 84236)
Номер опубликования: 0001202511210009
Дата опубликования: 21.11.2025
Страница №4 из 27:
Увеличить