Приказ Министерства культуры Российской Федерации от 06.10.2025 № 1779
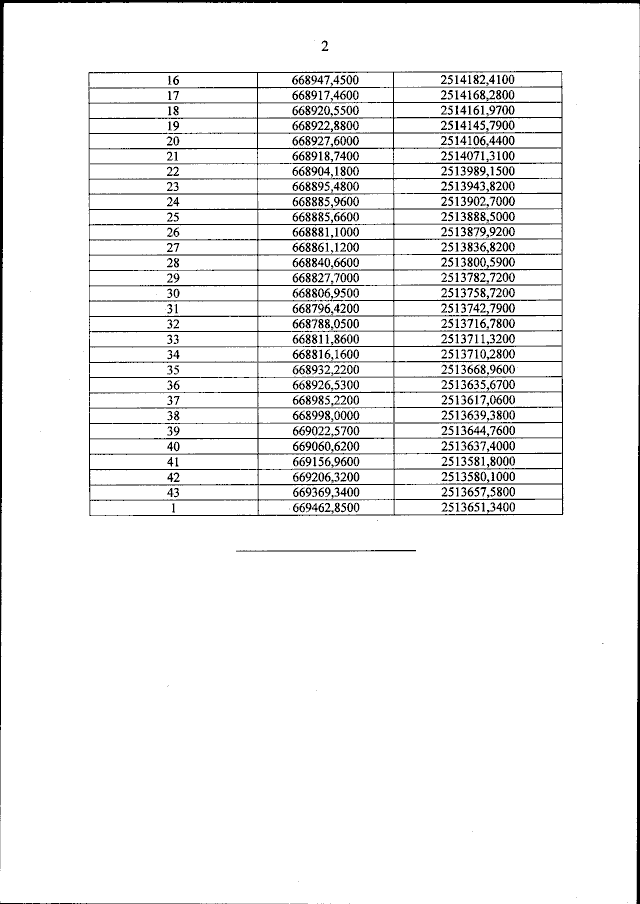
"О включении выявленного объекта культурного наследия (памятника истории и культуры) народов Российской Федерации "Каменная стена набережной и стенки ботардо", 1714 г. (Архангельская область, городской округ "Город Архангельск", в 55 метрах к западу от здания по адресу: город Архангельск, улица Ивана Рябова, дом 17, строение 5) в единый государственный реестр объектов культурного наследия (памятников истории и культуры) народов Российской Федерации в составе объекта культурного наследия (памятника истории и культуры) народов Российской Федерации федерального значения "Новодвинская крепость", 1701-1714 гг. (Архангельская область, городской округ "Город Архангельск", город Архангельск, улица Ивана Рябова, дом 17) в качестве объекта культурного наследия (памятника истории и культуры) народов Российской Федерации федерального значения и утверждении границ его территории"
(Зарегистрирован 13.11.2025 № 84168)
"О включении выявленного объекта культурного наследия (памятника истории и культуры) народов Российской Федерации "Каменная стена набережной и стенки ботардо", 1714 г. (Архангельская область, городской округ "Город Архангельск", в 55 метрах к западу от здания по адресу: город Архангельск, улица Ивана Рябова, дом 17, строение 5) в единый государственный реестр объектов культурного наследия (памятников истории и культуры) народов Российской Федерации в составе объекта культурного наследия (памятника истории и культуры) народов Российской Федерации федерального значения "Новодвинская крепость", 1701-1714 гг. (Архангельская область, городской округ "Город Архангельск", город Архангельск, улица Ивана Рябова, дом 17) в качестве объекта культурного наследия (памятника истории и культуры) народов Российской Федерации федерального значения и утверждении границ его территории"
(Зарегистрирован 13.11.2025 № 84168)
Номер опубликования: 0001202511140021
Дата опубликования:
14.11.2025
