Официальное опубликование правовых актов
ОФИЦИАЛЬНОЕ ОПУБЛИКОВАНИЕ
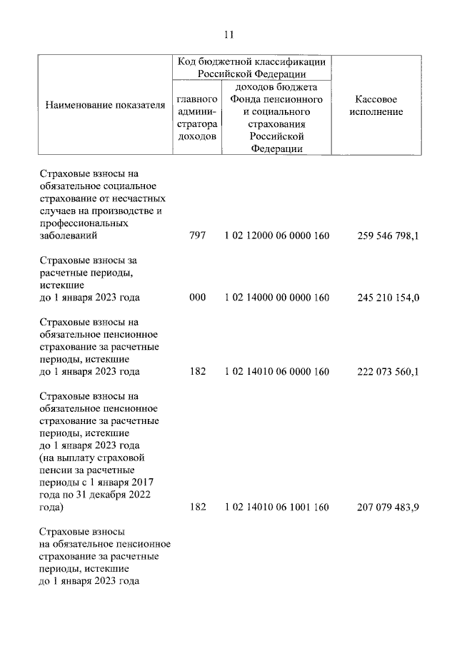
Федеральный закон от 23.07.2025 № 222-ФЗ
"Об исполнении бюджета Фонда пенсионного и социального страхования Российской Федерации за 2024 год"
Номер опубликования: 0001202507230040
Дата опубликования: 23.07.2025
Страница №11 из 224:
Увеличить