Официальное опубликование правовых актов
ОФИЦИАЛЬНОЕ ОПУБЛИКОВАНИЕ
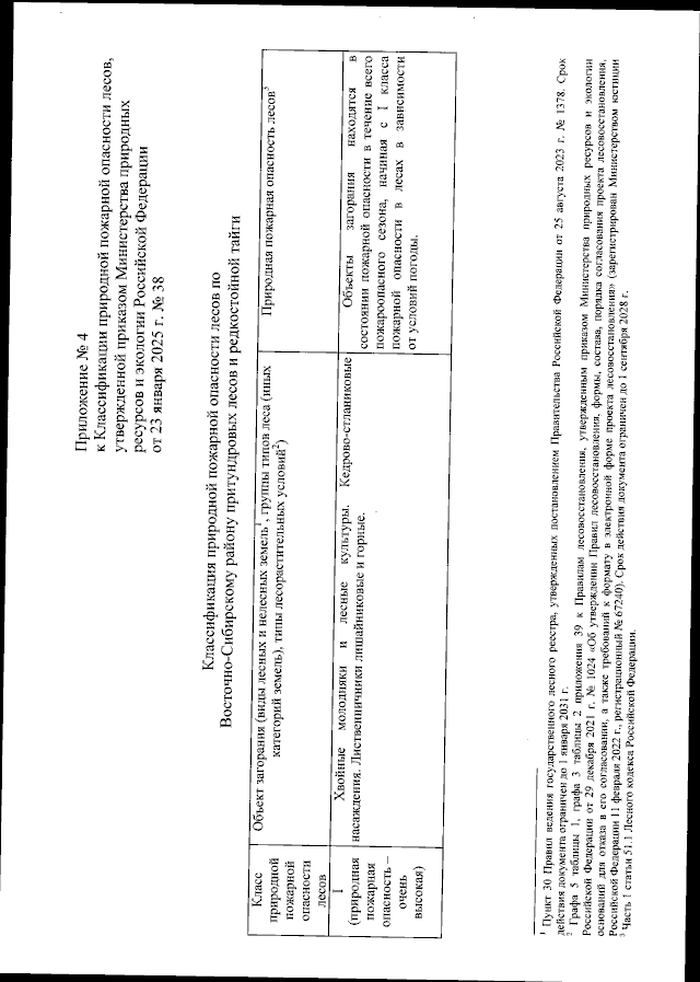
Приказ Министерства природных ресурсов и экологии Российской Федерации от 23.01.2025 № 38
"Об утверждении классификации природной пожарной опасности лесов"
(Зарегистрирован 04.07.2025 № 82817)
Номер опубликования: 0001202507070035
Дата опубликования: 07.07.2025
Страница №9 из 103:
Увеличить