Официальное опубликование правовых актов
ОФИЦИАЛЬНОЕ ОПУБЛИКОВАНИЕ
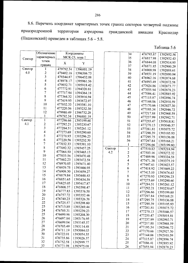
Приказ Федерального агентства воздушного транспорта от 03.04.2025 № 251-П
"Об установлении приаэродромной территории аэродрома гражданской авиации Краснодар (Пашковский)"
(Зарегистрирован 29.05.2025 № 82400)
Номер опубликования: 0001202505290046
Дата опубликования: 29.05.2025
Страница №287 из 909:
Увеличить