Официальное опубликование правовых актов
ОФИЦИАЛЬНОЕ ОПУБЛИКОВАНИЕ
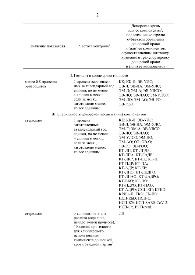
Постановление Правительства Российской Федерации от 14.05.2025 № 641
"Об утверждении Правил заготовки, хранения, транспортировки и клинического использования донорской крови и ее компонентов"
Номер опубликования: 0001202505140022
Дата опубликования: 14.05.2025
Страница №34 из 42:
Увеличить