Приказ Федеральной антимонопольной службы от 21.03.2025 № 190/25
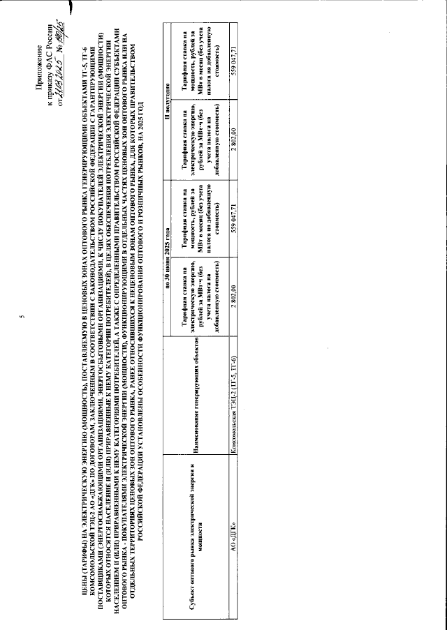
"Об утверждении составляющей части цены на мощность для обеспечения эксплуатации генерирующих объектов ТГ-7 Чульманской ТЭЦ АО "ДГК", ТГ-5, ТГ-6 Комсомольской ТЭЦ-2 АО "ДГК" на 2025 год, об утверждении цен (тарифов) на электрическую энергию (мощность), поставляемую в ценовых зонах оптового рынка генерирующими объектами ТГ-5, ТГ-6 Комсомольской ТЭЦ-2 АО "ДГК" по договорам, заключенным в соответствии с законодательством Российской Федерации с гарантирующими поставщиками (энергоснабжающими организациями, энергосбытовыми организациями, к числу покупателей электрической энергии (мощности) которых относятся население и (или) приравненные к нему категории потребителей), в целях обеспечения потребления электрической энергии населением и (или) приравненными к нему категориями потребителей, а также с определенными Правительством Российской Федерации субъектами оптового рынка - покупателями электрической энергии (мощности), функционирующими в отдельных частях ценовых зон оптового рынка или на отдельных территориях ценовых зон оптового рынка, ранее относившихся к неценовым зонам оптового рынка, для которых Правительством Российской Федерации установлены особенности функционирования оптового и розничных рынков, на 2025 год и о внесении изменения в приложение к приказу ФАС России от 26 декабря 2024 г. № 1093/24"
(Зарегистрирован 18.04.2025 № 81894)
"Об утверждении составляющей части цены на мощность для обеспечения эксплуатации генерирующих объектов ТГ-7 Чульманской ТЭЦ АО "ДГК", ТГ-5, ТГ-6 Комсомольской ТЭЦ-2 АО "ДГК" на 2025 год, об утверждении цен (тарифов) на электрическую энергию (мощность), поставляемую в ценовых зонах оптового рынка генерирующими объектами ТГ-5, ТГ-6 Комсомольской ТЭЦ-2 АО "ДГК" по договорам, заключенным в соответствии с законодательством Российской Федерации с гарантирующими поставщиками (энергоснабжающими организациями, энергосбытовыми организациями, к числу покупателей электрической энергии (мощности) которых относятся население и (или) приравненные к нему категории потребителей), в целях обеспечения потребления электрической энергии населением и (или) приравненными к нему категориями потребителей, а также с определенными Правительством Российской Федерации субъектами оптового рынка - покупателями электрической энергии (мощности), функционирующими в отдельных частях ценовых зон оптового рынка или на отдельных территориях ценовых зон оптового рынка, ранее относившихся к неценовым зонам оптового рынка, для которых Правительством Российской Федерации установлены особенности функционирования оптового и розничных рынков, на 2025 год и о внесении изменения в приложение к приказу ФАС России от 26 декабря 2024 г. № 1093/24"
(Зарегистрирован 18.04.2025 № 81894)
Номер опубликования: 0001202504180013
Дата опубликования:
18.04.2025
