Официальное опубликование правовых актов
ОФИЦИАЛЬНОЕ ОПУБЛИКОВАНИЕ
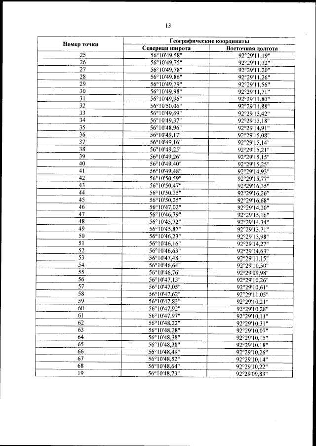
Приказ Министерства транспорта Российской Федерации от 20.02.2025 № 53
"Об открытии воздушного грузо-пассажирского постоянного многостороннего пункта пропуска через государственную границу Российской Федерации в международном аэропорту Красноярск (Красноярский край) и об утверждении пределов данного пункта пропуска через государственную границу Российской Федерации"
(Зарегистрирован 31.03.2025 № 81701)
Номер опубликования: 0001202504010022
Дата опубликования: 01.04.2025
Страница №15 из 24:
Увеличить