Официальное опубликование правовых актов
ОФИЦИАЛЬНОЕ ОПУБЛИКОВАНИЕ
Приказ Федеральной антимонопольной службы от 17.02.2025 № 102/25
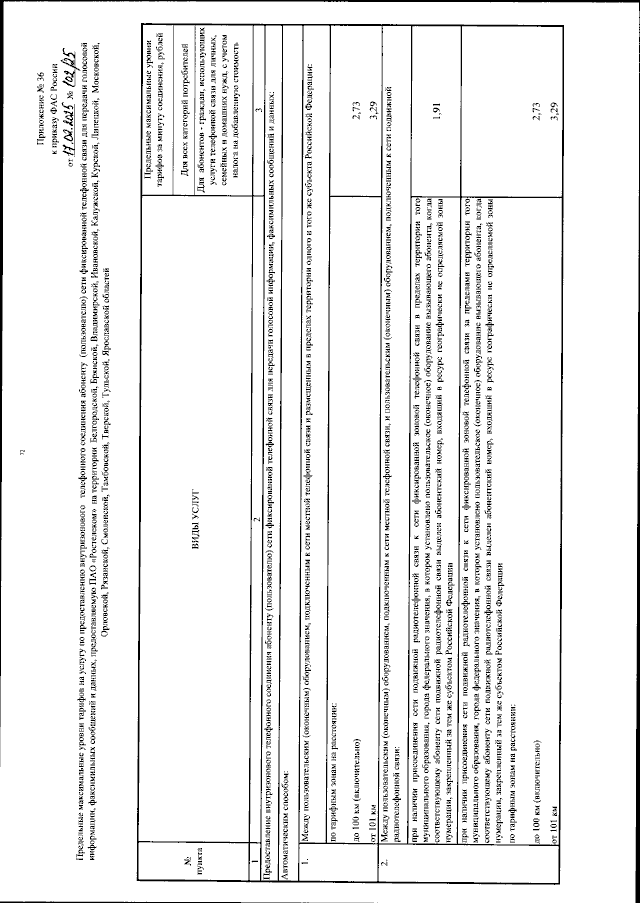
"Об утверждении предельных максимальных уровней тарифов на услуги местной телефонной связи, услугу по предоставлению внутризонового телефонного соединения абоненту (пользователю) сети фиксированной телефонной связи для передачи голосовой информации, факсимильных сообщений и данных и тарифов на услугу по передаче внутренней телеграммы, предоставляемые ПАО "Ростелеком"
(Зарегистрирован 17.03.2025 № 81563)
Номер опубликования: 0001202503180011
Дата опубликования: 18.03.2025
Страница №72 из 91:
Увеличить