Официальное опубликование правовых актов
ОФИЦИАЛЬНОЕ ОПУБЛИКОВАНИЕ
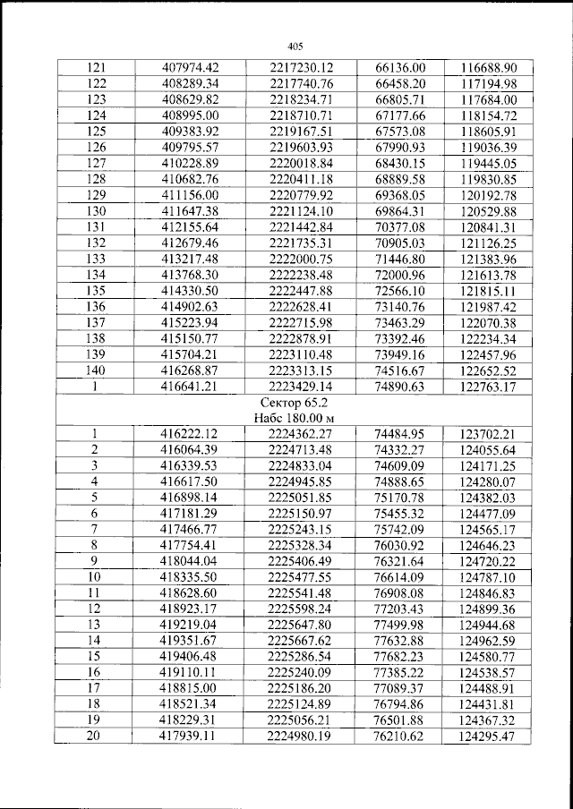
Приказ Федерального агентства воздушного транспорта от 24.12.2024 № 1161-П
"Об установлении приаэродромной территории аэродрома гражданской авиации Санкт-Петербург (Пулково)"
(Зарегистрирован 31.01.2025 № 81110)
Номер опубликования: 0001202502030005
Дата опубликования: 03.02.2025
Страница №406 из 616:
Увеличить