Официальное опубликование правовых актов
ОФИЦИАЛЬНОЕ ОПУБЛИКОВАНИЕ
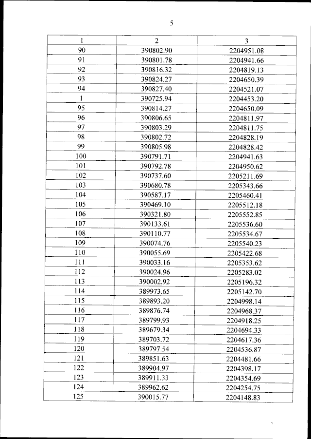
Приказ Федеральной службы охраны Российской Федерации от 05.12.2024 № 196
"Об установлении зоны охраняемого объекта (Московская область, городской округ Ступино, сельское поселение Семеновское)"
(Зарегистрирован 16.01.2025 № 80930)
Номер опубликования: 0001202501170011
Дата опубликования: 17.01.2025
Страница №5 из 11:
Увеличить