Официальное опубликование правовых актов
ОФИЦИАЛЬНОЕ ОПУБЛИКОВАНИЕ
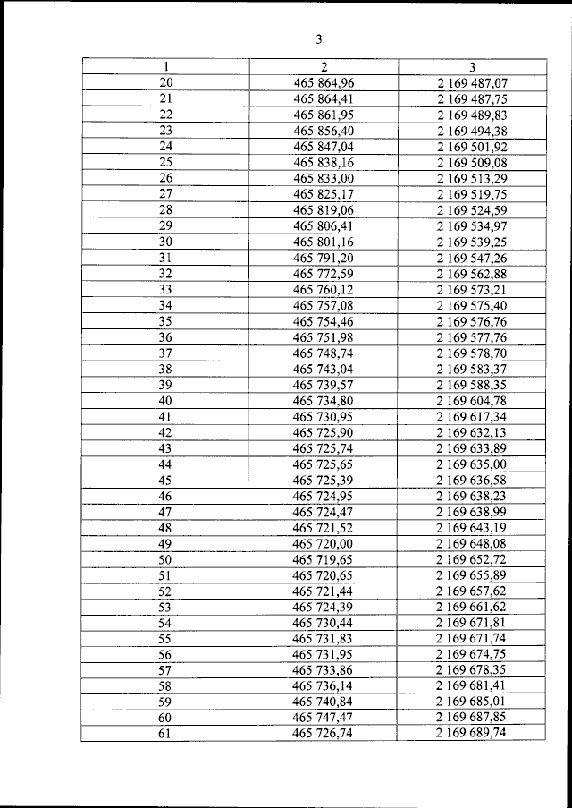
Приказ Федеральной службы охраны Российской Федерации от 11.12.2024 № 201
"Об установлении зоны охраняемого объекта (Московская область, Одинцовский городской округ, кадастровый квартал: 50:20:0010411)"
(Зарегистрирован 16.01.2025 № 80933)
Номер опубликования: 0001202501170005
Дата опубликования: 17.01.2025
Страница №3 из 10:
Увеличить