Официальное опубликование правовых актов
ОФИЦИАЛЬНОЕ ОПУБЛИКОВАНИЕ
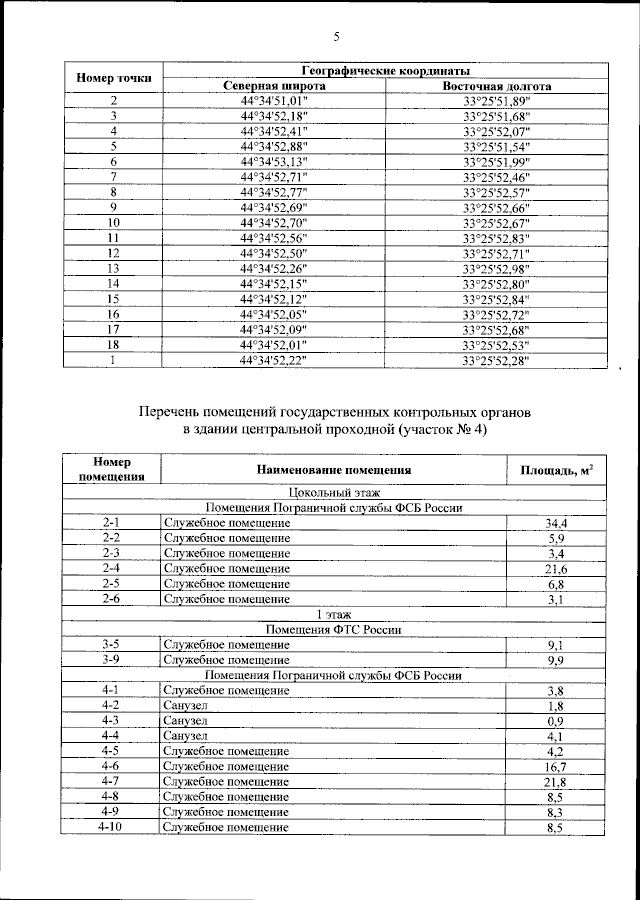
Приказ Министерства транспорта Российской Федерации от 21.10.2024 № 370
"Об утверждении пределов морского грузо-пассажирского постоянного многостороннего пункта пропуска через государственную границу Российской Федерации в морском порту Севастополь"
(Зарегистрирован 28.11.2024 № 80361)
Номер опубликования: 0001202411290010
Дата опубликования: 29.11.2024
Страница №6 из 8:
Увеличить