Официальное опубликование правовых актов
ОФИЦИАЛЬНОЕ ОПУБЛИКОВАНИЕ
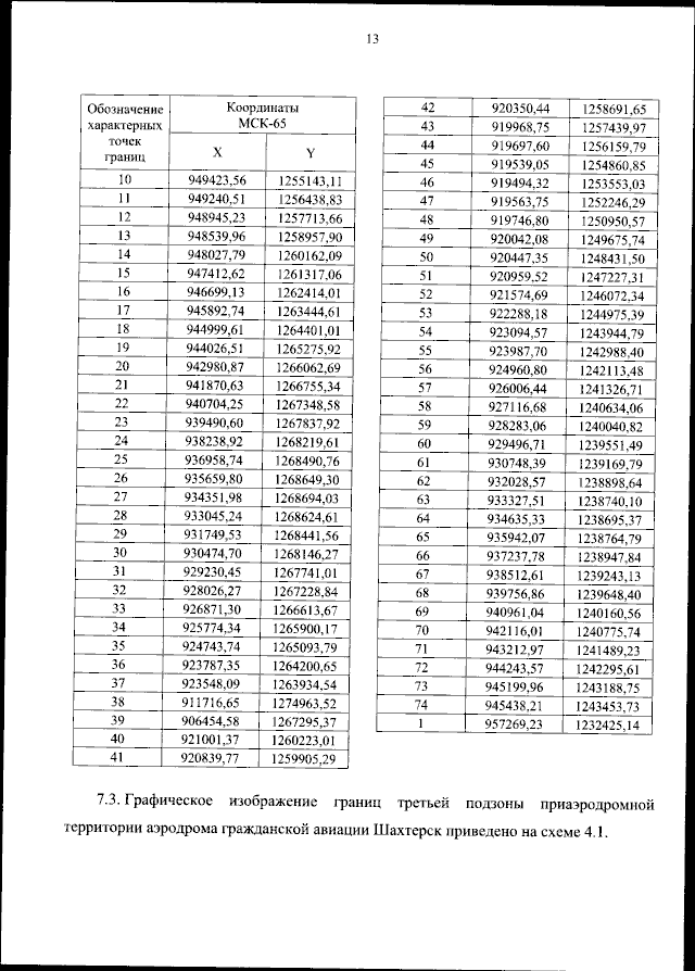
Приказ Федерального агентства воздушного транспорта от 30.09.2024 № 891-П
"Об установлении приаэродромной территории аэродрома гражданской авиации Шахтерск"
(Зарегистрирован 31.10.2024 № 79984)
Номер опубликования: 0001202411010010
Дата опубликования: 01.11.2024
Страница №14 из 205:
Увеличить