Официальное опубликование правовых актов
ОФИЦИАЛЬНОЕ ОПУБЛИКОВАНИЕ
Приказ Федерального агентства водных ресурсов от 02.08.2024 № 203
"Об утверждении Правил использования водных ресурсов водохранилища Псковской ГРЭС"
(Зарегистрирован 28.10.2024 № 79945)
Номер опубликования: 0001202410290045
Дата опубликования: 29.10.2024
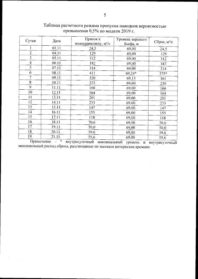
Страница №43 из 48:
Увеличить