Официальное опубликование правовых актов
ОФИЦИАЛЬНОЕ ОПУБЛИКОВАНИЕ
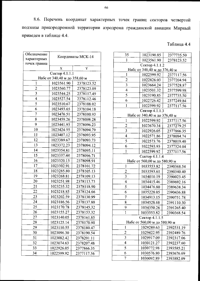
Приказ Федерального агентства воздушного транспорта от 24.09.2024 № 864-П
"Об установлении приаэродромной территории аэродрома гражданской авиации Мирный"
(Зарегистрирован 23.10.2024 № 79880)
Номер опубликования: 0001202410250031
Дата опубликования: 25.10.2024
Страница №67 из 274:
Увеличить