Официальное опубликование правовых актов
ОФИЦИАЛЬНОЕ ОПУБЛИКОВАНИЕ
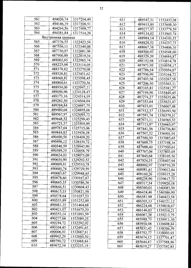
Приказ Федерального агентства воздушного транспорта от 16.09.2024 № 835-П
"Об установлении приаэродромной территории аэродрома гражданской авиации Ставрополь (Шпаковское)"
(Зарегистрирован 11.10.2024 № 79775)
Номер опубликования: 0001202410160002
Дата опубликования: 16.10.2024
Страница №53 из 361:
Увеличить