Официальное опубликование правовых актов
ОФИЦИАЛЬНОЕ ОПУБЛИКОВАНИЕ
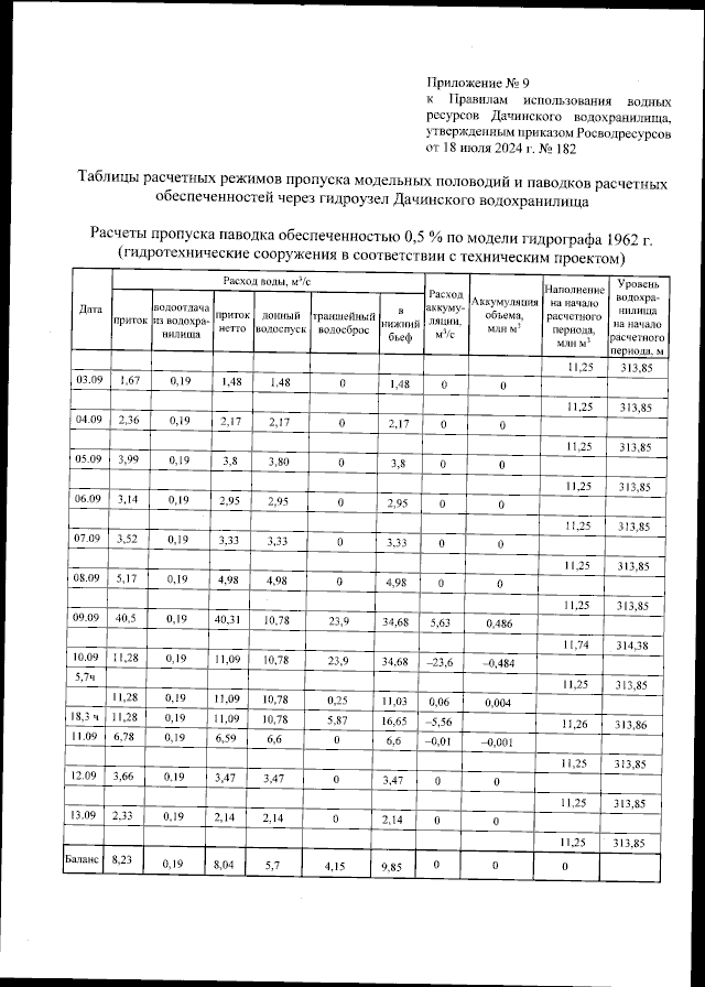
Приказ Федерального агентства водных ресурсов от 18.07.2024 № 182
"Об утверждении Правил использования водных ресурсов Дачинского водохранилища"
(Зарегистрирован 08.10.2024 № 79736)
Номер опубликования: 0001202410090006
Дата опубликования: 09.10.2024
Страница №170 из 184:
Увеличить